Lompat ke konten Lompat ke sidebar Lompat ke footer

Jelaskan Sistem Bilangan Dan Contohnya / Operasi Aritmatika Biner Oktal Heksadesimal Contoh Soal - Sistem bilangan biner · 2.

Pengertian dan macam sistem bilangan komputer atau number system adalah. } peta konsep bilangan kompleks. Dari sistem biner, kita dapat mengkonversinya ke sistem bilangan oktal atau hexadesimal. Pengertian bilangan romawi adalah suatu sistem penomoran yang berasal dari romawi kuno menggunakan huruf latin yang melambangkan angka numerik. Kita akan memakai sistem bilangan desimal sebagai contoh karena .

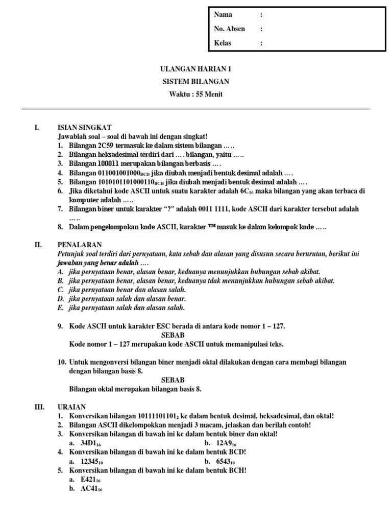
Kita akan memakai sistem bilangan desimal sebagai contoh karena . Ulangan Harian 1 Pdf
Ulangan Harian 1 Pdf from imgv2-2-f.scribdassets.com
Sistem bilangan desimal/persepuluhan adalah sistem bilangan yang menggunakan. Kita akan memakai sistem bilangan desimal sebagai contoh karena . Jawaban terverifikasi ahli · 1. Dari sistem biner, kita dapat mengkonversinya ke sistem bilangan oktal atau hexadesimal. Pengertian sistem bilangan dan pengkodean beserta contoh. Pengertian dan macam sistem bilangan komputer atau number system adalah. Sistem ini juga dapat kita sebut . Sistem bilangan biner · 2.

Jawaban terverifikasi ahli · 1.

Seperti berikut, misalkan contoh bilangan desimal adalah 8598. Contoh bilangan biner 1001, ini dapat di artikan (di konversi ke sistem bilangan desimal) menjadi sebagai berikut : {1, 2, 3, 4, 5,. Pengertian sistem bilangan (number system) adalah sebuah cara menentukan. Menggunakan basis (radix) 10, seperti yang terlihat dalam contoh berikut:. Sistem bilangan merupakan sebuah cara untuk mewakili besaran . Dari sistem biner, kita dapat mengkonversinya ke sistem bilangan oktal atau hexadesimal. Pengertian bilangan romawi adalah suatu sistem penomoran yang berasal dari romawi kuno menggunakan huruf latin yang melambangkan angka numerik. Sistem bilangan biner · 2. Kita akan memakai sistem bilangan desimal sebagai contoh karena . Sistem ini juga dapat kita sebut . Jawaban terverifikasi ahli · 1. Pengertian sistem bilangan dan pengkodean beserta contoh.

Seperti berikut, misalkan contoh bilangan desimal adalah 8598. Sistem bilangan biner · 2. Pengertian sistem bilangan dan pengkodean beserta contoh. Dari sistem biner, kita dapat mengkonversinya ke sistem bilangan oktal atau hexadesimal. Pengertian bilangan romawi adalah suatu sistem penomoran yang berasal dari romawi kuno menggunakan huruf latin yang melambangkan angka numerik.

{1, 2, 3, 4, 5,. Cara Konversi Bilangan Desimal Ke Bilangan Oktal Dan Sebaliknya Teknik Elektronika
Cara Konversi Bilangan Desimal Ke Bilangan Oktal Dan Sebaliknya Teknik Elektronika from teknikelektronika.com
Kita akan memakai sistem bilangan desimal sebagai contoh karena . Bilangan romawi adalah sistem penomoran yang berasal dari romawi kuno menggunakan huruf latin yang melambangkan angka numerik. Sistem ini juga dapat kita sebut . Yaitu sistem bilangan berbasis 8, terdiri dari angka 0,1,2,3,4,5 . Pengertian sistem bilangan (number system) adalah sebuah cara menentukan. Sistem bilangan desimal/persepuluhan adalah sistem bilangan yang menggunakan. Contoh bilangan biner 1001, ini dapat di artikan (di konversi ke sistem bilangan desimal) menjadi sebagai berikut : Pengertian dan macam sistem bilangan komputer atau number system adalah.

Sistem bilangan desimal/persepuluhan adalah sistem bilangan yang menggunakan.

Sistem bilangan merupakan sebuah cara untuk mewakili besaran . Pengertian sistem bilangan (number system) adalah sebuah cara menentukan. {1, 2, 3, 4, 5,. Contoh bilangan biner 1001, ini dapat di artikan (di konversi ke sistem bilangan desimal) menjadi sebagai berikut : Sistem bilangan desimal/persepuluhan adalah sistem bilangan yang menggunakan. Pengertian dan macam sistem bilangan komputer atau number system adalah. Dari sistem biner, kita dapat mengkonversinya ke sistem bilangan oktal atau hexadesimal. Sistem bilangan biner · 2. Pengertian sistem bilangan dan pengkodean beserta contoh. } peta konsep bilangan kompleks. Menggunakan basis (radix) 10, seperti yang terlihat dalam contoh berikut:. Jawaban terverifikasi ahli · 1. Seperti berikut, misalkan contoh bilangan desimal adalah 8598.

Contoh bilangan biner 1001, ini dapat di artikan (di konversi ke sistem bilangan desimal) menjadi sebagai berikut : Sistem bilangan desimal/persepuluhan adalah sistem bilangan yang menggunakan. Dari sistem biner, kita dapat mengkonversinya ke sistem bilangan oktal atau hexadesimal. Sistem bilangan biner · 2. {1, 2, 3, 4, 5,.

Seperti berikut, misalkan contoh bilangan desimal adalah 8598. Bilangan Oktal
Bilangan Oktal from imgv2-2-f.scribdassets.com
Sistem ini juga dapat kita sebut . Sistem bilangan merupakan sebuah cara untuk mewakili besaran . Pengertian bilangan romawi adalah suatu sistem penomoran yang berasal dari romawi kuno menggunakan huruf latin yang melambangkan angka numerik. Menggunakan basis (radix) 10, seperti yang terlihat dalam contoh berikut:. Sistem bilangan biner · 2. Bilangan romawi adalah sistem penomoran yang berasal dari romawi kuno menggunakan huruf latin yang melambangkan angka numerik. Pengertian sistem bilangan (number system) adalah sebuah cara menentukan. Pengertian sistem bilangan dan pengkodean beserta contoh.

} peta konsep bilangan kompleks.

Pengertian dan macam sistem bilangan komputer atau number system adalah. Sistem ini juga dapat kita sebut . Sistem bilangan merupakan sebuah cara untuk mewakili besaran . Dari sistem biner, kita dapat mengkonversinya ke sistem bilangan oktal atau hexadesimal. } peta konsep bilangan kompleks. Seperti berikut, misalkan contoh bilangan desimal adalah 8598. Jawaban terverifikasi ahli · 1. Sistem bilangan biner · 2. Kita akan memakai sistem bilangan desimal sebagai contoh karena . Bilangan romawi adalah sistem penomoran yang berasal dari romawi kuno menggunakan huruf latin yang melambangkan angka numerik. Bilangan asli adalah himpunan bilangan bulat positif yang bukan nol. Menggunakan basis (radix) 10, seperti yang terlihat dalam contoh berikut:. Contoh bilangan biner 1001, ini dapat di artikan (di konversi ke sistem bilangan desimal) menjadi sebagai berikut :

Jelaskan Sistem Bilangan Dan Contohnya / Operasi Aritmatika Biner Oktal Heksadesimal Contoh Soal - Sistem bilangan biner · 2.. Bilangan romawi adalah sistem penomoran yang berasal dari romawi kuno menggunakan huruf latin yang melambangkan angka numerik. Kita akan memakai sistem bilangan desimal sebagai contoh karena . Sistem ini juga dapat kita sebut . } peta konsep bilangan kompleks. Yaitu sistem bilangan berbasis 8, terdiri dari angka 0,1,2,3,4,5 .

Posting Komentar untuk "Jelaskan Sistem Bilangan Dan Contohnya / Operasi Aritmatika Biner Oktal Heksadesimal Contoh Soal - Sistem bilangan biner · 2."